TEK 14-09A

Hybrid Concrete Masonry Design

[download_pdf_button post_id='521604' label='Download PDF' source_filename='TEK 14-09A' ]

INTRODUCTION

Hybrid masonry is a structural system that utilizes reinforced masonry infill walls with a framed structure. While the frame can be constructed of reinforced concrete or structural steel, the discussion here will include steel frames in combination with reinforced concrete masonry walls. The masonry walls are used as part of the lateral load resisting system.

Following the development of the wrought iron framed Glass Palace in France in 1851, framed technology evolved and spread to the United States. Since then, combining masonry walls with frames has been used as a common feature of many early building types.

Caged construction was introduced in 1882 by architect George Post. The first caged framed building used a structural steel framework mixed with exterior walls of unreinforced masonry. The term caged walls resulted from the exterior walls being built around a structural cage. The frame supported the floor and roof gravity loads; the masonry was independent of the frame and self-supporting and provided the lateral stiffness. As a result, the wall thicknesses were only slightly less than those in bearing wall buildings.

Another type of structure used exterior unreinforced bearing walls and interior structural frames. The famous Monadnock Building in Chicago, constructed in 1892 is an example of this type with exterior masonry bearing walls up to 6 ft (1.83 m) thick. The 15-story building was the largest office building in the world when completed. Ironically, it was the last high-rise built with exterior masonry bearing walls for the full height of the building and an interior frame.

Transitional buildings were perhaps the most used type of combination frame/masonry structures used through the 1940s. An example is the 13-story Tower Building in New York built in 1888, which used transitional and load bearing construction. Transitional buildings took traditional masonry walls and constructed them integrally with the exterior structural frame. Brick or hollow clay tile was used as an inner wythe, usually 8 in. (203 mm) thick. An exterior wythe of brick, cast stone, terra-cotta or stone was anchored or headered to the backup to function as a composite wall system, but there was no accommodation for the masonry walls to take differential movement. It was common to design these buildings for gravity loads only. While the wall system was not intended to be structural, it provided lateral stiffness. The masonry also provided exterior finish, fire protection for the frame, and backup for the interior finish.

Confined masonry within concrete frames is yet another form of combination structure. This system originated in the 1800s. It has developed globally but apparently has no specific origin. Confined masonry is used primarily for residential construction. The type of masonry infill varies by region or country and includes clay brick, clay tile, stone or concrete masonry.

As framed structures grew taller, architects tried to reduce the thickness of the exterior walls. The structural steel and reinforced concrete structures were used to support building loads and exterior wall loads. Curtain walls and cavity walls developed during this time and masonry was no longer the only wall material used as a backup system for exterior walls.

The concept of using masonry infill to resist lateral forces is not new; having been used successfully throughout the world in different forms. While common worldwide, U.S. based codes and standards have lagged behind in the establishment of standardized means of designing masonry infill.

The hybrid masonry system outlined in this TEK is a unique method of utilizing masonry infill to resist lateral forces. The novelty of the hybrid masonry design approach relative to other more established infill design procedures is in the connection detailing between the masonry and the steel frame, which offers multiple alternative means of transferring loads into the masonry—or isolating the masonry infill from the frame.

Prior to implementing the design procedures outlined in this TEK, users are strongly urged to become familiar with the hybrid masonry concept, its modeling assumptions, and its limitations particularly in the way in which inelastic loads are distributed during earthquakes throughout the masonry and frame system. This system, or design methods, should not be used in Seismic Design Category D and above until further studies and tests have been performed; and additional design guidance is outlined in adopted codes and standards.

HYBRID MASONRY CONCEPT

Since the 1950s, architects and engineers have primarily used cavity walls with framed structures. The backup masonry walls are generally termed infill walls. They support out-of-plane loads on the wall and are isolated from the frame so as not to participate in the lateral load resistance (see Figure 1). Codes usually require that these walls be isolated from the lateral movement of the frame to ensure that lateral loads are not imparted to the masonry.

The hybrid system is a variation of the confined masonry system. It incorporates the beneficial qualities of transitional buildings and the characteristics of cavity wall construction. It differs from cavity wall construction in that the infill masonry walls participate with the frame and provide strength and stiffness to the system. The masonry can be used as single wythe or as cavity wall construction. Hybrid masonry structures are constructed of reinforced masonry, not unreinforced masonry, as was common in transitional buildings.

Hybrid masonry/framed structures were first proposed in print in 2006 (ref. 1). There are several primary reasons for its development. One reason is to simplify the construction of framed buildings with masonry infill. While many designers prefer masonry infill walls as the backup for veneers in framed buildings, there is often a conflict created when steel bracing is required and positioned such that conflicts arise with the masonry infill. This leads to detailing difficulties and construction interferences in trying to fit masonry around the braces. One solution is to eliminate the steel bracing and use reinforced masonry infill as shear wall and bracing.

Hybrid masonry/steel structures also provide structural redundancy that can be utilized to limit progressive collapse. The reinforced masonry infill provides an alternative load path for the frame’s gravity loads, hence providing redundancy. The resulting system is more efficient than either a frame or a bearing wall system alone when subjected to progressive collapse design conditions. If a steel column is damaged in a hybrid structure, gravity loads will transfer to the reinforced masonry. If the masonry is damaged, the gravity load transfers to the frame. There are documented examples from the World Trade Center disaster that illustrate redundancy in transitional buildings (ref. 2).

CLASSIFICATION OF WALLS

There are three hybrid wall types. The loadings these walls can support is dependent upon the degree of confinement of the masonry within the frame. These walls can potentially transfer axial loads from the beam/girder of the frame as well as transfer shear from the beam/girder or the columns. The wall systems are defined in Table 1 based on their ability to transfer loads from the frame to the wall. All wall systems listed can address the backup for cavity wall construction. If a veneer is used, it is constructed with relieving angles and is isolated for differential movement as with conventional cavity wall construction. By comparison, an infill wall used in a cavity wall does not transfer axial load or in-plane shear.

The following sections describe each wall type. The key to the performance of the walls is the confinement at the columns and the top of the wall along with the anchorage.

Type I Hybrid Walls

This wall type transmits out-of-plane loads and in-plane shear loads (Figure 1). The gap at the top and the top anchors should not transmit axial loads. If column anchors are used, they should not transmit shear loads. The gaps at the columns must be adequate so the columns do not bear against the masonry when the frame undergoes drift.

All wall types must transfer shear at the base of the wall. This is commonly done using dowels into the foundation or on the framing at the bottom of the wall.

The tie-down forces are a key component to the support of the wall against preventing overturning.

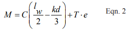
Effectively, the masonry wall is a nonloadbearing shear wall that also supports out-of-plane loads. The in-plane forces are shown in Figure 2. These forces must be applied to the frame design. The tension load T can be accommodated by the distributed reinforcement or the designated tie-down reinforcement. This same reinforcement can be used to distribute shear forces as well. Type I walls can be ideal for buildings up to four stories.

The forces are resolved into:

where e is the eccentricity of the tie-down force, which is defined as the distance between the tie-down reinforcement and the center of the wall.

Type II Hybrid Walls

The Type II hybrid wall is a modification of Type I. It is constructed tight to the beam framing above such that axial loads are transmitted to the masonry wall (Figure 3). The top anchors transmit out-of-plane loads and shear loads. If column anchors are used, they do not transmit shear loads.

Effectively, the masonry wall is a loadbearing shear wall that also supports out-of-plane loads.

There are two options for distributing the in-plane forces resulting from overturning of the shear wall, designated Type IIa and Type IIb. For Type IIa (Figure 4), the tension load T can be accommodated by the distributed reinforcement or the designated tie-down reinforcement. For Type IIb (Figure 5), the tension force that tied down the wall in the Type IIa wall is replaced by compression on the upper framing and is transferred into the steel frame. This is a significant benefit in multi-story buildings because the tie-down to the frame is not required.

As previously noted, shear dowels are needed at the base of the walls. Type IIb walls, unlike Type I and IIa, do not require tension lap splices for the vertical reinforcement at the base of the walls since only shear loads are being developed.

Type II walls are generally limited to buildings 10 to 14 stories high since masonry stresses will usually govern. Generally, this limitation is similar for loadbearing buildings as well.

The designer has the option to load-share the gravity loads with the masonry wall. This can reduce the size of the beam/girder framing member. For example, if the masonry is constructed after the dead loads of the floor/roof framing system are installed, the masonry wall can take the gravity loads that are added to the structure after the walls are built. The framing (columns and beams/girders) sizes can be limited to support only the dead loads and the lateral load effects. The framing should be designed for the full gravity loads if there is a chance that the wall will be modified in the future.

For the Type IIb wall at the base of the wall:

The overturning is resolved by:

The axial load imparted to the wall is a function of the construction sequence. This should be stated in the construction documents. For example, if the steel is designed for only the slab and framing dead load and the lateral load effects, the masonry walls must be constructed tight to the framing above after the slab is in place but before the wall above is started.

The steel framing and the masonry must be designed using similar assumptions.

Type III Hybrid Walls

This wall type is fully confined within the framing (Figure 6). It is most similar to the transitional buildings from the early 1900s. However, in this modernized version the masonry is engineered and reinforced to support axial and shear loads in addition to the out-of-plane loads. As with the Type II hybrid wall, the designer has the option to design the columns and beams/girders for the portion of the gravity loads installed before the masonry.

Currently, there are no standards in the United States that govern the design of this type of wall. Research is underway to help define the behavior of these walls, which will lead to code requirements. Designers should only use this system at their own discretion. Statics can be used to generate formulas comparable to Equations 1 through 4 for Type I and II hybrid.

Figures 7 and 8 show the two variations (Type IIIa and Type IIIb) based on how the overturning force is handled.

HYBRID DESIGN

As discussed, the masonry in hybrid structures can carry out-of-plane loads in addition to in-plane loads. The masonry design can be performed based on the code for reinforced masonry using allowable stress (based on linear elastic methods). As strength design procedures gain acceptance, load factor design with non-linear elastic evaluation of the masonry will be possible.

While there are three hybrid types that dictate the loadings (Type I, II and III), there are three shear wall types available for the design of the walls themselves. The shear wall type depends on the minimum prescriptive reinforcement and grouting. The Building Code Requirements for Masonry Structures and the International Building Code (IBC) (refs. 3, 4) classify shear walls as ordinary reinforced, intermediate reinforced, or special reinforced. Therefore, there are three combinations of hybrid types to choose from.

The structural steel system design and the in-plane loads to the masonry are based upon the IBC and ASCE 7 (ref. 11) using seismic factors for R (response modification coefficient), Ωo (system over-strength factor), and Cd (deflection amplification factor) applicable to the type of shear walls used with building frames. These factors are given in Table 2. An on-going research project at the University of Illinois is evaluating these factors for their applicability to hybrid walls.

Ordinary reinforced shear walls are permitted in Seismic Design Categories (SDCs) A, B and C. The building height is unlimited for SDCs A and B and limited to 160 ft (48.76 m) for SDC C.

Intermediate reinforced shear walls are permitted in SDCs A, B and C. The building height is unlimited.

Special reinforced shear walls are permitted in all seismic design categories. The building height is unlimited in SDCs A, B and C, limited to 160 ft (48.8 m) in SDCs D and E, and limited to 100 ft (30.5 m) in SDC F.

While these are the permitted types and classes, most projects thus far have been in SDC A, B and C. This has been convenient in that an R = 3 type structural steel design has been used in accordance with AISC. Designs in SDC D and higher would require use of the AISC Seismic Design Manual, AISC 327-05 (ref. 9). In addition, research is on-going for various aspects of the systems in higher seismic classes.

More detailed information on prescriptive seismic detailing for concrete masonry shear walls can be found in TEK 14-18A, Prescriptive Seismic Reinforcement Requirements for Masonry Structures (ref. 10).

COMPUTER SOFTWARE

Several commercial software companies have masonry design packages (refs. 5, 6), some of which have included hybrid masonry in their packages. This allows the masonry and steel to be modeled and designed as a system. The software is primarily based on allowable stress design and linear elastic analysis. There are plans to incorporate strength design in the future.

CONCLUSIONS

Hybrid masonry offers many benefits and complements framed construction. By using the masonry as a structural element for in-plane loads, the constructability of the masonry with the frames is improved, the lateral stiffness is increased, the redundancy is improved, and opportunities for reduced construction costs are created.

Designs indicate that greater stiffness can be achieved with hybrid masonry systems in comparison with braced frames or moment frames. The beneficial effect on the framing through the load-sharing abilities of the system is also evident. These qualities, stiffness, and redundancy can be useful in preventing progressive collapse.

For now, Type I and Type II hybrid systems can be designed in the United States using existing codes and standards. Criteria for Type III hybrid systems are under development.

Details for the construction of hybrid walls and design issues related to the top connectors are discussed in TEK 03-03B and IMI Technology Brief 02.13.02 (refs. 7, 8).

NOTATIONS:

C            = resultant compressive force, lb (N)
Cbottom  = resultant compressive force at bottom of masonry wall, lb (N)
Cd          = deflection amplification factor
Cleft        = resultant compressive force on left side of masonry wall, lb (N)
Cright      = resultant compressive force on right side of masonry wall, lb (N)
Ctop         = resultant compressive force at top of masonry wall, lb (N)
d              = distance from extreme compression fiber to centroid of tension reinforcement, in. (mm)
e              = eccentricity of the tie-down force, equal to the distance of the tie-down reinforcement from the center of the wall, in. (mm)
H            = shear force, lb (N)
h             = effective height of masonry element, in. (mm)
k, k’        = ratio of distance between compression face of wall and neutral axis to the effective depth, d for the bottom and top of the wall; and to the height of the wall, h, for the sides, respectively.
lw           = length of entire wall or of segment of wall considered in the direction of shear force, in. (mm)
M           = maximum moment at the section under consideration, in.-lb (N-mm)
Paxial     = axial load, lb (N)
Pwall      = axial load due to wall weight, lb (N)
R            = seismic response modification factor
T            = tension in reinforcement, lb (N)
Ωo          = system over-strength factor

REFERENCES

  1. Biggs, D.T., Hybrid Masonry Structures, Proceedings of the Tenth North American Masonry Conference, The Masonry Society, June 2007.
  2. Biggs, D.T., Masonry Aspects of the World Trade Center Disaster, The Masonry Society, 2004.
  3. Building Code Requirements for Masonry Structures, ACI 530-08/ASCE 5-08/TMS 402-08. The Masonry Society, 2008.
  4. 2006 International Building Code. International Code Council, 2006.
  5. RAM Advanse Version 10.0, Masonry Wall, RAM International, 2009.
  6. RISA 3D Version 8.0, RISA Technologies.
  7. Hybrid Masonry Construction With Structural Steel Frames, TEK 03-03B. Concrete Masonry & Hardscapes Association, 2009.
  8. Hybrid Masonry Construction, IMI Technology Brief 02.13.02. International Masonry Institute, 2009.
  9. AISC Seismic Design Manual, AISC 327-05. American Iron and Steel Institute, 2005.
  10. Prescriptive Seismic Reinforcement Requirements for Masonry Structures, TEK 14-18A. Concrete Masonry & Hardscapes Association, 2003.
  11. Minimum Design Loads for Buildings and Other Structures, ASCE 7-05. American Society of Civil Engineers, 2005.